9701 MCQ Solution 80

Question 80: [Organic > Carboxylic Acids and Derivatives]

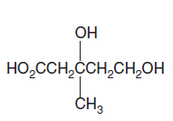
Mevalonic acid is an intermediate in the biosynthesis of cholesterol, and is shown below.
Which properties does mevalonic acid have?
1 It has only 1 chiral carbon atom.
2 It can be esterified both by ethanoic acid and by ethanol, in the presence of H+ ions.
3 It contains both primary and secondary alcohol groups.
Reference: Past Exam Paper –June 2003 Paper 1 Q40



Solution 80:
Answer: B.
Fact 1 is correct since the central carbon atom is bonded to 4 different groups, whereas the remaining carbon atoms have bonds to 2 or more H atoms, or have a double bond to an oxygen atom. Fact 2 is also correct, since mevalonic acid has a carboxylic acid group on the left-hand side and an alcohol group on the right-hand side. This allows esterification by both ethanolic acid and ethanol. Fact 3 is incorrect since mevalonic acid has a primary alcohol (2 or more H atoms) group on the right-hand side, and a tertiary alcohol (No H atoms) in the centre. Thus option B is the correct answer.

Hiç yorum yok:

Yorum Gönder